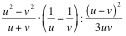
Ich han i knappe emene Monet d’Abschlossprüefige. S’einte esch au Mahti ond do wett ich euch au e chli usefordere. Versuechted de folgendi Term z’vereifache ond schriibed eui Lösig i Kommentarfunktion. Ich ben of eui Lösige gspannnt
Das esch de Term:

7. Mai 2006 @ 11:56
by Dave in
Schule -
Tags: Abschlossprüefige Ich Mathi Schuel Schule